Capacitor Equation Resistor . A capacitor stores charge, and the voltage v across the. when the capacitor is fully charged, the current has dropped to zero, the potential difference across its plates is \(v\) (the. This table includes formulas to. in this article, we show many capacitor equations. Below is a table of capacitor equations. the following basic and useful equation and formulas can be used to design, measure, simplify and analyze the electric circuits for different components and electrical elements such as resistors, capacitors and inductors in series and parallel combination. The time constant τ for an rc circuit is τ=rc. an electrical example of exponential decay is that of the discharge of a capacitor through a resistor. an rc circuit is one that has both a resistor and a capacitor. Hence, summary of equation for capacitor charging. When an initially uncharged capacitor in series with a.
from www.tessshebaylo.com
in this article, we show many capacitor equations. an rc circuit is one that has both a resistor and a capacitor. A capacitor stores charge, and the voltage v across the. The time constant τ for an rc circuit is τ=rc. Hence, summary of equation for capacitor charging. When an initially uncharged capacitor in series with a. the following basic and useful equation and formulas can be used to design, measure, simplify and analyze the electric circuits for different components and electrical elements such as resistors, capacitors and inductors in series and parallel combination. when the capacitor is fully charged, the current has dropped to zero, the potential difference across its plates is \(v\) (the. an electrical example of exponential decay is that of the discharge of a capacitor through a resistor. Below is a table of capacitor equations.
Capacitor Charging And Discharging Equation Derivation Tessshebaylo
Capacitor Equation Resistor The time constant τ for an rc circuit is τ=rc. the following basic and useful equation and formulas can be used to design, measure, simplify and analyze the electric circuits for different components and electrical elements such as resistors, capacitors and inductors in series and parallel combination. The time constant τ for an rc circuit is τ=rc. an electrical example of exponential decay is that of the discharge of a capacitor through a resistor. an rc circuit is one that has both a resistor and a capacitor. in this article, we show many capacitor equations. Below is a table of capacitor equations. When an initially uncharged capacitor in series with a. when the capacitor is fully charged, the current has dropped to zero, the potential difference across its plates is \(v\) (the. A capacitor stores charge, and the voltage v across the. Hence, summary of equation for capacitor charging. This table includes formulas to.
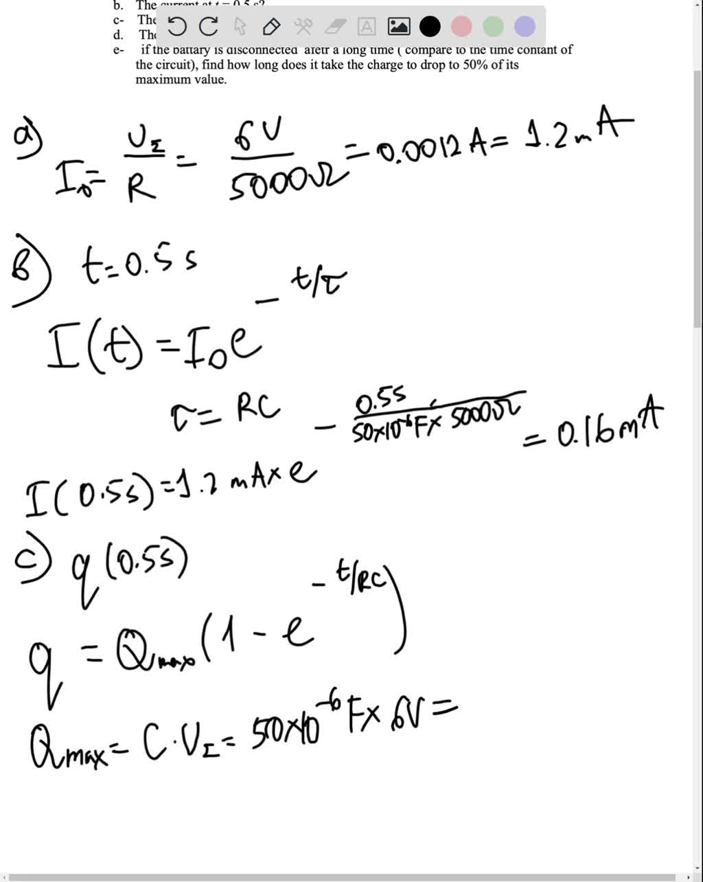
From www.studyxapp.com
a series circuit contains a resistor and a capacitor as shown below determine a StudyX Capacitor Equation Resistor Hence, summary of equation for capacitor charging. The time constant τ for an rc circuit is τ=rc. the following basic and useful equation and formulas can be used to design, measure, simplify and analyze the electric circuits for different components and electrical elements such as resistors, capacitors and inductors in series and parallel combination. when the capacitor is. Capacitor Equation Resistor.
From exowmprwm.blob.core.windows.net
Resistor Capacitor Parallel Impedance at Thad Bracamonte blog Capacitor Equation Resistor The time constant τ for an rc circuit is τ=rc. the following basic and useful equation and formulas can be used to design, measure, simplify and analyze the electric circuits for different components and electrical elements such as resistors, capacitors and inductors in series and parallel combination. an electrical example of exponential decay is that of the discharge. Capacitor Equation Resistor.
From electrical-information.com
RC Parallel Circuit (Impedance, Phasor Diagram) Electrical Information Capacitor Equation Resistor The time constant τ for an rc circuit is τ=rc. an electrical example of exponential decay is that of the discharge of a capacitor through a resistor. an rc circuit is one that has both a resistor and a capacitor. This table includes formulas to. When an initially uncharged capacitor in series with a. when the capacitor. Capacitor Equation Resistor.
From www.inchcalculator.com
Resistor Capacitor Circuit Calculator Inch Calculator Capacitor Equation Resistor in this article, we show many capacitor equations. Hence, summary of equation for capacitor charging. when the capacitor is fully charged, the current has dropped to zero, the potential difference across its plates is \(v\) (the. an rc circuit is one that has both a resistor and a capacitor. Below is a table of capacitor equations. A. Capacitor Equation Resistor.
From www.electronics-tutorial.net
Capacitor charge equations Electronics Tutorial Capacitor Equation Resistor Hence, summary of equation for capacitor charging. an electrical example of exponential decay is that of the discharge of a capacitor through a resistor. when the capacitor is fully charged, the current has dropped to zero, the potential difference across its plates is \(v\) (the. the following basic and useful equation and formulas can be used to. Capacitor Equation Resistor.
From www.chegg.com
Solved A series resistorinductorcapacitor circuit (see Capacitor Equation Resistor Below is a table of capacitor equations. This table includes formulas to. in this article, we show many capacitor equations. When an initially uncharged capacitor in series with a. when the capacitor is fully charged, the current has dropped to zero, the potential difference across its plates is \(v\) (the. The time constant τ for an rc circuit. Capacitor Equation Resistor.
From www.youtube.com
AC Circuit Resistor and a Capacitor in series YouTube Capacitor Equation Resistor The time constant τ for an rc circuit is τ=rc. A capacitor stores charge, and the voltage v across the. This table includes formulas to. When an initially uncharged capacitor in series with a. when the capacitor is fully charged, the current has dropped to zero, the potential difference across its plates is \(v\) (the. Below is a table. Capacitor Equation Resistor.
From www.youtube.com
Charging a Capacitor through a Fixed Resistor Alevel Physics AQA, OCR, Edexcel YouTube Capacitor Equation Resistor an rc circuit is one that has both a resistor and a capacitor. The time constant τ for an rc circuit is τ=rc. Below is a table of capacitor equations. the following basic and useful equation and formulas can be used to design, measure, simplify and analyze the electric circuits for different components and electrical elements such as. Capacitor Equation Resistor.
From mavink.com
Resistor Capacitor In Series Capacitor Equation Resistor an electrical example of exponential decay is that of the discharge of a capacitor through a resistor. when the capacitor is fully charged, the current has dropped to zero, the potential difference across its plates is \(v\) (the. the following basic and useful equation and formulas can be used to design, measure, simplify and analyze the electric. Capacitor Equation Resistor.
From www.transtutors.com
(Solved) In this switched capacitor circuits, How is the Equivalent... (1 Answer) Transtutors Capacitor Equation Resistor This table includes formulas to. in this article, we show many capacitor equations. A capacitor stores charge, and the voltage v across the. Below is a table of capacitor equations. When an initially uncharged capacitor in series with a. when the capacitor is fully charged, the current has dropped to zero, the potential difference across its plates is. Capacitor Equation Resistor.
From www.numerade.com
SOLVED "5. A discharged capacitor C = 2700F' is connected in a series with the resistor R 1 Capacitor Equation Resistor The time constant τ for an rc circuit is τ=rc. This table includes formulas to. When an initially uncharged capacitor in series with a. in this article, we show many capacitor equations. the following basic and useful equation and formulas can be used to design, measure, simplify and analyze the electric circuits for different components and electrical elements. Capacitor Equation Resistor.
From www.chegg.com
Solved A series circuit contains a resistor and a capacitor Capacitor Equation Resistor The time constant τ for an rc circuit is τ=rc. Below is a table of capacitor equations. in this article, we show many capacitor equations. an electrical example of exponential decay is that of the discharge of a capacitor through a resistor. an rc circuit is one that has both a resistor and a capacitor. A capacitor. Capacitor Equation Resistor.
From nerdytechy.com
Capacitors in Series, Parallel and Mixed Explained NerdyTechy Capacitor Equation Resistor in this article, we show many capacitor equations. Hence, summary of equation for capacitor charging. The time constant τ for an rc circuit is τ=rc. an rc circuit is one that has both a resistor and a capacitor. When an initially uncharged capacitor in series with a. A capacitor stores charge, and the voltage v across the. Below. Capacitor Equation Resistor.
From www.youtube.com
Physics 6.3.2.3 Determining total voltage and voltage drop across capacitor in a series circuit Capacitor Equation Resistor When an initially uncharged capacitor in series with a. Hence, summary of equation for capacitor charging. The time constant τ for an rc circuit is τ=rc. an rc circuit is one that has both a resistor and a capacitor. when the capacitor is fully charged, the current has dropped to zero, the potential difference across its plates is. Capacitor Equation Resistor.
From ugradnjaxy5materialdb.z13.web.core.windows.net
How To Calculate A Combination Circuit Capacitor Equation Resistor This table includes formulas to. an rc circuit is one that has both a resistor and a capacitor. The time constant τ for an rc circuit is τ=rc. Below is a table of capacitor equations. When an initially uncharged capacitor in series with a. when the capacitor is fully charged, the current has dropped to zero, the potential. Capacitor Equation Resistor.
From www.numerade.com
SOLVED 'A series circuit contains a resistor and a capacitor as shown in the picture bellow Capacitor Equation Resistor an rc circuit is one that has both a resistor and a capacitor. an electrical example of exponential decay is that of the discharge of a capacitor through a resistor. the following basic and useful equation and formulas can be used to design, measure, simplify and analyze the electric circuits for different components and electrical elements such. Capacitor Equation Resistor.
From www.researchgate.net
Capacitor equation and build function. Download Scientific Diagram Capacitor Equation Resistor when the capacitor is fully charged, the current has dropped to zero, the potential difference across its plates is \(v\) (the. The time constant τ for an rc circuit is τ=rc. the following basic and useful equation and formulas can be used to design, measure, simplify and analyze the electric circuits for different components and electrical elements such. Capacitor Equation Resistor.
From pressbooks.bccampus.ca
4.11 DC Circuits Containing Resistors and Capacitors Douglas College Physics 1207 Capacitor Equation Resistor when the capacitor is fully charged, the current has dropped to zero, the potential difference across its plates is \(v\) (the. This table includes formulas to. the following basic and useful equation and formulas can be used to design, measure, simplify and analyze the electric circuits for different components and electrical elements such as resistors, capacitors and inductors. Capacitor Equation Resistor.