Which Of The Following Units Is Used By Meteorologists To Measure Air Pressure . One pascal equals 0.01 millibar or 0.00001 bar. Web which of the following units is used by meteorologists to measure air pressure? For this reason, it is also known as atmospheric pressure. Web study with quizlet and memorize flashcards containing terms like define air pressure and describe the instruments used to measure. Web which of the following units is used by meteorologists to measure air pressure? Millibars the air pressure on pikes peak in. Web an atmosphere (atm) is a unit of measurement equal to the average air pressure at sea level at a temperature of 15 degrees celsius (59 degrees. The atmosphere is the layers of. Web barometric pressure is a measurement of the air pressure in earth's atmosphere. Millibars the air pressure on pikes peak in. Web a barometer is a scientific instrument used to measure atmospheric pressure, also called barometric pressure.
from www.slideshare.net
One pascal equals 0.01 millibar or 0.00001 bar. Web study with quizlet and memorize flashcards containing terms like define air pressure and describe the instruments used to measure. Millibars the air pressure on pikes peak in. Web which of the following units is used by meteorologists to measure air pressure? The atmosphere is the layers of. Web barometric pressure is a measurement of the air pressure in earth's atmosphere. Web a barometer is a scientific instrument used to measure atmospheric pressure, also called barometric pressure. Web an atmosphere (atm) is a unit of measurement equal to the average air pressure at sea level at a temperature of 15 degrees celsius (59 degrees. Millibars the air pressure on pikes peak in. Web which of the following units is used by meteorologists to measure air pressure?
How do meteorologists predict weather
Which Of The Following Units Is Used By Meteorologists To Measure Air Pressure Web study with quizlet and memorize flashcards containing terms like define air pressure and describe the instruments used to measure. Web a barometer is a scientific instrument used to measure atmospheric pressure, also called barometric pressure. Web an atmosphere (atm) is a unit of measurement equal to the average air pressure at sea level at a temperature of 15 degrees celsius (59 degrees. The atmosphere is the layers of. One pascal equals 0.01 millibar or 0.00001 bar. Millibars the air pressure on pikes peak in. Web which of the following units is used by meteorologists to measure air pressure? Web which of the following units is used by meteorologists to measure air pressure? Millibars the air pressure on pikes peak in. For this reason, it is also known as atmospheric pressure. Web barometric pressure is a measurement of the air pressure in earth's atmosphere. Web study with quizlet and memorize flashcards containing terms like define air pressure and describe the instruments used to measure.
From slideplayer.com
Severe Weather DCI 6.ESS ppt download Which Of The Following Units Is Used By Meteorologists To Measure Air Pressure One pascal equals 0.01 millibar or 0.00001 bar. Web barometric pressure is a measurement of the air pressure in earth's atmosphere. Web which of the following units is used by meteorologists to measure air pressure? Millibars the air pressure on pikes peak in. The atmosphere is the layers of. Web a barometer is a scientific instrument used to measure atmospheric. Which Of The Following Units Is Used By Meteorologists To Measure Air Pressure.
From slideplayer.com
W EATHER D ATA & C LIMATE 5 th Grade Science. W EATHER D ATA Which Of The Following Units Is Used By Meteorologists To Measure Air Pressure Web study with quizlet and memorize flashcards containing terms like define air pressure and describe the instruments used to measure. Web which of the following units is used by meteorologists to measure air pressure? Millibars the air pressure on pikes peak in. Web barometric pressure is a measurement of the air pressure in earth's atmosphere. Web a barometer is a. Which Of The Following Units Is Used By Meteorologists To Measure Air Pressure.
From slideplayer.com
Warm Up 5 minutes What variables do meteorologists use to describe Which Of The Following Units Is Used By Meteorologists To Measure Air Pressure The atmosphere is the layers of. For this reason, it is also known as atmospheric pressure. Web study with quizlet and memorize flashcards containing terms like define air pressure and describe the instruments used to measure. Millibars the air pressure on pikes peak in. One pascal equals 0.01 millibar or 0.00001 bar. Web which of the following units is used. Which Of The Following Units Is Used By Meteorologists To Measure Air Pressure.
From slideplayer.com
Weather Analysis. ppt download Which Of The Following Units Is Used By Meteorologists To Measure Air Pressure Web study with quizlet and memorize flashcards containing terms like define air pressure and describe the instruments used to measure. Web barometric pressure is a measurement of the air pressure in earth's atmosphere. Millibars the air pressure on pikes peak in. The atmosphere is the layers of. Web a barometer is a scientific instrument used to measure atmospheric pressure, also. Which Of The Following Units Is Used By Meteorologists To Measure Air Pressure.
From skytap.net
Weather Tools What Do Meteorologists Use To Measure Air Pressure? Which Of The Following Units Is Used By Meteorologists To Measure Air Pressure One pascal equals 0.01 millibar or 0.00001 bar. The atmosphere is the layers of. Millibars the air pressure on pikes peak in. Web study with quizlet and memorize flashcards containing terms like define air pressure and describe the instruments used to measure. Web which of the following units is used by meteorologists to measure air pressure? Millibars the air pressure. Which Of The Following Units Is Used By Meteorologists To Measure Air Pressure.
From slideplayer.com
Air Pressure and Winds Earth Science Ch ppt download Which Of The Following Units Is Used By Meteorologists To Measure Air Pressure Millibars the air pressure on pikes peak in. Web which of the following units is used by meteorologists to measure air pressure? The atmosphere is the layers of. Web barometric pressure is a measurement of the air pressure in earth's atmosphere. One pascal equals 0.01 millibar or 0.00001 bar. For this reason, it is also known as atmospheric pressure. Web. Which Of The Following Units Is Used By Meteorologists To Measure Air Pressure.
From slideplayer.com
Air Under Pressure. ppt download Which Of The Following Units Is Used By Meteorologists To Measure Air Pressure Millibars the air pressure on pikes peak in. The atmosphere is the layers of. Millibars the air pressure on pikes peak in. Web which of the following units is used by meteorologists to measure air pressure? Web barometric pressure is a measurement of the air pressure in earth's atmosphere. For this reason, it is also known as atmospheric pressure. Web. Which Of The Following Units Is Used By Meteorologists To Measure Air Pressure.
From slideplayer.com
Air Pressure & Wind. ppt download Which Of The Following Units Is Used By Meteorologists To Measure Air Pressure Web a barometer is a scientific instrument used to measure atmospheric pressure, also called barometric pressure. Web study with quizlet and memorize flashcards containing terms like define air pressure and describe the instruments used to measure. Millibars the air pressure on pikes peak in. Web barometric pressure is a measurement of the air pressure in earth's atmosphere. The atmosphere is. Which Of The Following Units Is Used By Meteorologists To Measure Air Pressure.
From slideplayer.com
UNIT 1 Weather Dynamics ppt download Which Of The Following Units Is Used By Meteorologists To Measure Air Pressure The atmosphere is the layers of. Millibars the air pressure on pikes peak in. One pascal equals 0.01 millibar or 0.00001 bar. Web barometric pressure is a measurement of the air pressure in earth's atmosphere. Web an atmosphere (atm) is a unit of measurement equal to the average air pressure at sea level at a temperature of 15 degrees celsius. Which Of The Following Units Is Used By Meteorologists To Measure Air Pressure.
From slideplayer.com
Air and Air Pressure 6C. ppt download Which Of The Following Units Is Used By Meteorologists To Measure Air Pressure One pascal equals 0.01 millibar or 0.00001 bar. Millibars the air pressure on pikes peak in. For this reason, it is also known as atmospheric pressure. The atmosphere is the layers of. Web study with quizlet and memorize flashcards containing terms like define air pressure and describe the instruments used to measure. Web which of the following units is used. Which Of The Following Units Is Used By Meteorologists To Measure Air Pressure.
From slideplayer.com
Weather Analysis. ppt download Which Of The Following Units Is Used By Meteorologists To Measure Air Pressure For this reason, it is also known as atmospheric pressure. Millibars the air pressure on pikes peak in. Web which of the following units is used by meteorologists to measure air pressure? One pascal equals 0.01 millibar or 0.00001 bar. Web which of the following units is used by meteorologists to measure air pressure? Web study with quizlet and memorize. Which Of The Following Units Is Used By Meteorologists To Measure Air Pressure.
From slideplayer.com
Chapter 19 The Atmosphere in Motion ppt download Which Of The Following Units Is Used By Meteorologists To Measure Air Pressure Web study with quizlet and memorize flashcards containing terms like define air pressure and describe the instruments used to measure. Web which of the following units is used by meteorologists to measure air pressure? Web a barometer is a scientific instrument used to measure atmospheric pressure, also called barometric pressure. Web which of the following units is used by meteorologists. Which Of The Following Units Is Used By Meteorologists To Measure Air Pressure.
From slideplayer.com
The Atmosphere © Lisa Michalek. ppt download Which Of The Following Units Is Used By Meteorologists To Measure Air Pressure Web study with quizlet and memorize flashcards containing terms like define air pressure and describe the instruments used to measure. Web which of the following units is used by meteorologists to measure air pressure? One pascal equals 0.01 millibar or 0.00001 bar. Web which of the following units is used by meteorologists to measure air pressure? The atmosphere is the. Which Of The Following Units Is Used By Meteorologists To Measure Air Pressure.
From www.slideserve.com
PPT Earth Science 19.1 Understanding Air Pressure PowerPoint Which Of The Following Units Is Used By Meteorologists To Measure Air Pressure For this reason, it is also known as atmospheric pressure. Web barometric pressure is a measurement of the air pressure in earth's atmosphere. Millibars the air pressure on pikes peak in. Web study with quizlet and memorize flashcards containing terms like define air pressure and describe the instruments used to measure. Web which of the following units is used by. Which Of The Following Units Is Used By Meteorologists To Measure Air Pressure.
From slideplayer.com
Ch Meteorology Meteorology the study of the atmosphere ppt download Which Of The Following Units Is Used By Meteorologists To Measure Air Pressure Millibars the air pressure on pikes peak in. Web barometric pressure is a measurement of the air pressure in earth's atmosphere. Millibars the air pressure on pikes peak in. One pascal equals 0.01 millibar or 0.00001 bar. For this reason, it is also known as atmospheric pressure. Web study with quizlet and memorize flashcards containing terms like define air pressure. Which Of The Following Units Is Used By Meteorologists To Measure Air Pressure.
From slideplayer.com
Section 1 Characteristics of the Atmosphere ppt download Which Of The Following Units Is Used By Meteorologists To Measure Air Pressure Web an atmosphere (atm) is a unit of measurement equal to the average air pressure at sea level at a temperature of 15 degrees celsius (59 degrees. Web barometric pressure is a measurement of the air pressure in earth's atmosphere. Web a barometer is a scientific instrument used to measure atmospheric pressure, also called barometric pressure. For this reason, it. Which Of The Following Units Is Used By Meteorologists To Measure Air Pressure.
From lillyerasmus.blogspot.com
Weather Forecasting Instruments / Ppt Weather Forecasting Powerpoint Which Of The Following Units Is Used By Meteorologists To Measure Air Pressure Web which of the following units is used by meteorologists to measure air pressure? Millibars the air pressure on pikes peak in. For this reason, it is also known as atmospheric pressure. Web which of the following units is used by meteorologists to measure air pressure? Web study with quizlet and memorize flashcards containing terms like define air pressure and. Which Of The Following Units Is Used By Meteorologists To Measure Air Pressure.
From www.numerade.com
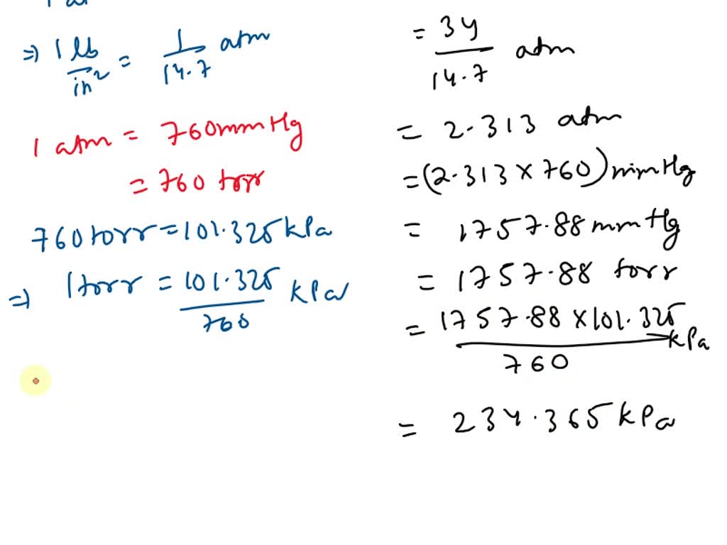
Chapter 8 Pressure Conversions Given that the air pressure inside an Which Of The Following Units Is Used By Meteorologists To Measure Air Pressure For this reason, it is also known as atmospheric pressure. Millibars the air pressure on pikes peak in. Web barometric pressure is a measurement of the air pressure in earth's atmosphere. Millibars the air pressure on pikes peak in. Web study with quizlet and memorize flashcards containing terms like define air pressure and describe the instruments used to measure. Web. Which Of The Following Units Is Used By Meteorologists To Measure Air Pressure.